Every electrical installation requires the pulling of cable. Although this is a routine task, guessing whether a cable pull is going to be successful or not is definitely not wise. That’s why applying certain calculations can ensure your next pull is smooth and clean.
There are no direct National Electrical Code (NEC) requirements for pulling cable. However, there are indirect NEC requirements that affect cable pulling, such as pull box and fitting sizes, conduit fill, bending radii of the conduit and cable, and the listing of the cable itself. To understand cable pulling, a few basic terms must be understood, some of which include:
• Pulling tension
• Weight correction factors
• Sidewall pressure
• Coefficient of dynamic friction
• Jam ratios
Pulling tension refers to the forward force being applied to the cable (Fig. 1). There are many variables that create the pulling tension. The direction of the pull (e.g., up, down, horizontal), length of the pull, weight of the cable, amount of friction between the cable and conduit (or the sheaves and pulleys in tray), number of bends in the conduit or tray, radii dimension of the bends, configuration of the cables in a conduit, and amount of conduit fill all affect the amount of tension that will need to be applied to the cable to pull it. Even the ambient temperature may be a consideration since the insulation may be stiffer (if cold). Since this is an introductory article on this topic, we won’t drill down into the specific formulas and calculations surrounding pulling tensions, as this can get complex rather quickly.
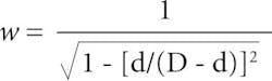
The configuration of the cables within the conduit also affects the pulling tension to a great extent (Fig. 2). This creates the need to calculate weight correction — this factor will ultimately affect the pulling tension. Weight correction factors are “unitless” and are used in conjunction with other calculations such as side wall pressure calculations. To calculate weight correction factors, the following formulas may be used:
• Single cable configuration: w = 1
• Triangular configuration:
• Complex configuration (4+ cables): w = 1.4
Where,
w = weight correction factor
D = inside diameter of conduit
d = outside diameter of conductor.
Sidewall pressure, which is typically expressed in pounds/foot, is only applied to insulated cable when being pulled around a bend (Fig. 1). Sidewall pressures in excess of the manufacturer’s recommendation can damage the cable insulation. The amount of sidewall pressure is affected by the conduit bend radius (or the sheave radius in the case of tray) and whether one or more multiconductor cables or single conductors are being pulled.
There are industry recommendations for maximum allowable sidewall pressures. One of the publications that contain sidewall pressure recommendations is AEIC CG5-2015, “Underground Extruded Power Cable Pulling Guide,” which is published by the Association of Edison Illumination Companies (AEIC). Another good source is IEEE 576-2000, “IEEE Recommended Practice for Installation, Termination, and Testing of Insulated Power Cable as Used in Industrial and Commercial Applications.” In addition, most cable manufacturers are willing to help you with calculations for major pulls.
The coefficient of dynamic friction has a tremendous impact on the pulling tension of a cable. It’s the measure of friction between the cable and the conduit while the cable is being pulled. The coefficient can easily vary between 0.1 and 1.0 when a pulling compound is used, and may exceed 1.0 if pulled in a dry conduit. The lower the coefficient of friction, the easier the pull will be.
There are several ways to achieve low friction, including having a clean conduit and the use of the right pulling compound. Many years ago, electricians would pour laundry detergent and water down a conduit to decrease the amount of friction. Fortunately, pulling compounds are now more sophisticated, and there are different types of compound for different cables and temperatures. There are also computer programs that can model a pull with a specific compound. It is also highly recommended that once a pull begins, it shouldn’t be stopped because the coefficient of static friction is higher than that of the dynamic friction. In addition to pulling compounds, certain manufacturers now have coatings integral to the insulation to lower the coefficient of dynamic friction.
Jam ratios are usually only a concern when three conductors or cables are installed in a conduit. Informational Note No. 2 in Chapter 9 of the NEC (Table 1) refers to jam ratios and the need to calculate for this condition. Again, while this isn’t a direct requirement of the NEC, it can affect the conductors and damage them if not considered.
The cable configuration can change from cradled to triangular several times during the pull. When this occurs, the middle conductor can wedge itself between the outer conductors, creating a jam. To calculate the jam ratio, divide the inside of the conduit diameter by the outside diameter of one of the cables. Note: Always use manufacturers’ data sheets, if possible, to obtain the outside diameter of the cables. If the result is a factor of 2.8 to 3.2, jamming may be an issue. Changing the conduit to a larger size will remedy this problem.
Here are two examples of how to calculate jam ratios.
Case No. 1
Conduit: 2-in. rigid metal conduit (I.D. = 2.083 in.) [Reference: NEC Chapter 9, Table 4, Art. 344]
Cable: 4/0 AWG, XHHW-2 (O.D. = 0.653 in.) [Reference: wire manufacturer data sheet]
Ratio: 2.083 ÷ 0.653 = 3.19
Result: Jamming may be an issue in this situation.
Case No. 2
Conduit: 3-in. rigid metal conduit (I.D. = 3.090 in.) [Reference: NEC Chapter 9, Table 4, Art. 344]
Cable: 4/0 AWG, XHHW-2 (O.D. = 0.653 in.) [Reference: wire manufacturer data sheet]
Ratio: 3.090 ÷ 0.653 = 4.73
Result: Jamming should not be an issue in this case.
It’s always a good idea to use commercially available cable pulling software when designing and preparing to pull a cable. Ignoring any of the parameters mentioned above can result in a damaged cable. Likewise, proper pulling equipment should always be used when pulling cable. For large cable pulls, always use a dynamometer and a tugger designed for the purpose. Never use a truck, bulldozer, or crane. Most cable manufacturers want to be consulted on difficult pulls. So always consult them if there are concerns in making a successful pull.
© 2015 Fluor Corporation. All Rights Reserved.
Guidry is a technical director at Fluor Enterprises, Inc., Sugar Land, Texas. The majority of his 38 years of experience includes upstream and downstream portions of petrochemical plants and refineries. He is also heavily experienced in water and wastewater treatment facilities. He can be reached at [email protected].
About the Author
Eddie Guidry
Senior Fellow
Eddie Guidry is a senior fellow with Fluor Enterprises, Inc., Sugar Land, Texas. He is highly skilled in electrical and control systems for industrial construction, design, and engineering (both domestic and abroad). The majority of Eddie’s 38 years of experience includes upstream and downstream portions of petrochemical plants and refineries. He is also heavily experienced in water and wastewater treatment facilities. Eddie is very active in the development of U.S. national (ANSI) and international codes and standards, and has been a principal member of the National Fire Protection Association (NFPA) National Electrical Code (NEC) committee since 1999 and NFPA’s National Advisory Committee on Electrical Safety Research since 2008. Eddie, who has also developed and conducted many electrical courses and seminars over the years, currently holds the corporate Master Electrician license for Fluor Corporation in the State of Texas and is also an ICC/IAEI certified electrical inspector.




