Short Circuit Current Duties of Circuit Breakers and Fuses — Part 2
As discussed in Part 1, the interrupting ratings of low-voltage circuit breakers and fuses are classified on a symmetrical-current-rated basis. In this context, “symmetrical-current-rated” implies that a multiplying factor (MF) to account for the DC component of the short circuit current waveform is unnecessary to adjust the calculated first-cycle symmetrical RMS short circuit current whenever the short circuit X/R ratio is less than or equal to some limit, because a certain degree of asymmetry is built into the rating structure. However, if the short circuit X/R ratio exceeds the limit, a larger than tested DC component may exceed the built-in asymmetry allowance; and the first-cycle symmetrical RMS current must be multiplied by an appropriate MF before comparison with the interrupting ratings (i.e., 3-phase short circuit current ratings) in a manufacturer’s table. Listed below are the short circuit X/R ratio limit and the formula to calculate the MF (in the event that the short circuit X/R ratio exceeds the limit) for several categories of low-voltage circuit breakers and fuses.
Unfused Low-Voltage Power Circuit Breakers
First-cycle duty of unfused low-voltage power circuit breaker = MF × first-cycle symmetrical RMS current
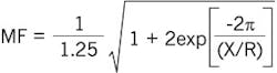
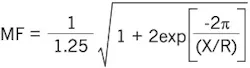
MF = 1.0 is applicable whenever the first-cycle short-circuit X/R ratio at the fault point (i.e., source side of breaker) is 6.6 or less. If the first-cycle short-circuit X/R ratio is greater than 6.6, the following formula from IEEE Std C37.13-2008 can be used to find the MF.
The 3-phase rated short circuit current in RMS kA must exceed the first-cycle duty in asymmetrical RMS kA.
Note: On 3-phase systems where the voltage across a single pole under a fault condition may exceed 58% of the rated maximum voltage (e.g., corner-grounded delta under single line to ground fault), the single-pole interrupting capability shall be 87% of the 3-phase rated short circuit current.
Fused Low-Voltage Power Circuit Breakers
First-cycle duty of fused low-voltage power circuit breaker = MF × first-cycle symmetrical RMS current
MF = 1.0 is applicable whenever the first-cycle short circuit X/R ratio at the fault point (i.e., source side of breaker) is 4.9 or less. If the first-cycle short circuit X/R ratio is greater than 4.9, the following formula from IEEE Std C37.13-2008 can be used to find the MF.
The 3-phase rated short circuit current in RMS kA must exceed the first-cycle duty in asymmetrical RMS kA.
Note: On 3-phase systems where the voltage across a single pole under a fault condition may exceed 58% of the rated maximum voltage (e.g., corner-grounded delta under single line to ground fault), the single-pole interrupting capability shall be 87% of the 3-phase rated short circuit current.
Molded- and Insulated-Case Circuit Breakers
First-cycle duty of molded- or insulated-case breaker = MF × first-cycle symmetrical RMS current
Interrupting ratings 10,000A symmetrical or less:
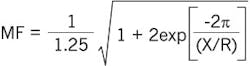
MF = 1.0 is applicable whenever the first-cycle short circuit X/R ratio at the fault point (i.e., source side of breaker) is less than 1.7. If the first-cycle short circuit X/R ratio is greater than 1.7, the following formula can be used to find the MF.
Interrupting Ratings between 10,001A and 20,000A symmetrical:
MF = 1.0 is applicable whenever the first-cycle short circuit X/R ratio at the fault point (i.e., source side of breaker) is less than 3.2. If the first-cycle short circuit X/R ratio is greater than 3.2, the following formula can be used to find the MF.
Interrupting ratings exceeding 20,000A symmetrical:
MF = 1.0 is applicable whenever the first-cycle short circuit X/R ratio at the fault point (i.e. source side of breaker) is less than 4.9. If the first-cycle short circuit X/R ratio is greater than 4.9, the following formula can be used to find the MF.
The 3-phase rated short circuit current in RMS kA must exceed the first-cycle duty in asymmetrical RMS kA.
Note: On 3-phase systems where the voltage across a single pole under a fault condition may exceed 58% of the rated maximum voltage (e.g., corner-grounded delta under single line to ground fault), the single-pole interrupting capability shall be 87% of the 3-phase rated short circuit current.
Low-Voltage Fuses
First-cycle duty of low-voltage fuse = MF × first-cycle symmetrical RMS current
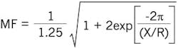
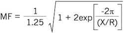
MF = 1.0 is applicable whenever the first-cycle short circuit X/R ratio at the fault point (i.e., source side of breaker) is 4.9 or less. If the first-cycle short circuit X/R ratio is greater than 4.9, the following formula from IEEE Std C37.13-2008 can be used to find the MF.
The interrupting rating in RMS kA must exceed the first-cycle duty in asymmetrical RMS kA.
Note: The marked interrupting rating of a fuse is the tested single-pole interrupting rating, so derating to assess single-pole interrupting capability does not apply to fuses.
Example:
Let’s put numbers to the formulas above by considering the example from Part 1 of this series for which the first-cycle symmetrical RMS current and short circuit X/R ratio for a 3-phase fault at low-voltage Bus 3 are 23.910kA and 7.0, respectively.
First-cycle duty of Bus 3 unfused low-voltage power circuit breaker = MF × Bus 3 first-cycle (momentary) symmetrical RMS current = 1.012 × 23.910kA = 24.197kA (asymmetrical RMS)
First-cycle duty of Bus 3 molded- or insulated-case breaker = MF × Bus 3 first-cycle (momentary) symmetrical RMS current = 1.073 × 23.910kA = 25.655kA (asymmetrical RMS)
First-cycle duty of Bus 3 low-voltage fuse = MF × Bus 3 first-cycle (momentary) symmetrical RMS current = 1.078 × 23.910kA = 25.775kA (asymmetrical RMS)
Mercede, P.E., is principal of Mercede Engineering LLC, based in Bryn Mawr, Pa. He can be reached at [email protected].







