A Quick Guide to Discharge Testing
Batteries serve as the main source of power in a substation in the event of an AC outage. They power critical loads and equipment like relays, indicator lamps, circuit-breaker controls, motor operators, SCADA equipment, event recorders, etc. As the battery is truly tested only during an outage, it is important to monitor battery health regularly as part of preventive maintenance so they can be relied upon when the AC power source fails. Capacity testing or discharge testing is an effective way to track battery health and thus ensure reliability.
NERC/FERC requirements
The North American Electric Reliability Corporation (NERC), certified by the Federal Energy Regulatory Commission (FERC) as the Electric Reliability Organization (ERO) in 2006, develops and enforces reliability standards among all bulk power system (BPS) owners. NERC covers stationary battery maintenance procedures in the standard PRC-005-6 to ensure a reliable protection system.
Among other activities, PRC-005-6 states that ohmic testing or capacity testing must be performed at specified intervals that vary depending on battery type (Table 1).
What is capacity?
Capacity is the ability of the battery to supply a load for a certain duration. It is measured in amp-hours (Ahr). A battery with a certain capacity (Ahr) should be able to provide a certain current (A) for a certain duration (hr). Through a discharge test or capacity test, it is possible to measure the capacity of the battery. A capacity test can determine whether the battery will be able to perform its function when an outage occurs.
What is a capacity test?
In a capacity test, the battery is subjected to a simulated outage. Current is drawn from the battery in a controlled manner, and the battery discharge is monitored. As the test progresses, the battery voltage begins to gradually drop down to its end voltage. The time taken for the battery to reach the end voltage is used to determine the capacity of the battery. Figure 1 shows a typical battery discharge curve.
The capacity test can be done in various ways: constant current discharge, constant power discharge, constant resistance discharge, load profile, etc. The constant current discharge method is the most popular and widely used. While doing the test using this method, the test current is kept constant throughout the test.
Why is capacity testing not preferred?
Although the discharge test is a true test of the battery and provides valuable information, people are generally reluctant to do discharge testing, primarily because it is labor intensive and time consuming. It is also one of those tests that need to be done right the first time on that day. If a mistake is made while starting the test, the test cannot be restarted immediately because the battery discharge data can be affected by the previous attempt. Proper planning and preparation will ensure there are no hiccups, and a discharge test can be carried out in the right manner and with ease.
Safety is essential
Before getting into the steps that can be taken to ensure a smooth discharge test, it is important to cover the safety aspect. The tester must be well-equipped to carry out the test in a safe manner (Photo 1). Personal protective equipment (PPE) includes safety glasses, face shields, acid-resistant gloves, and a protective apron. The presence of a water facility for rinsing eyes and skin after coming in contact with the electrolyte, a Class C fire extinguisher, and adequately insulated tools will ensure the safety of testing personnel.
Steps to ensure correct discharge testing
It is important to have prior information on the battery string that is to be tested. Once the manufacturer and model are known, the discharge specification sheet can be obtained online. The test parameters can be determined from the discharge specification sheet. Table 2 shows a sample discharge specification table for a constant-current test.
From this table, the test current can be determined for a certain test duration. As can be seen, shorter-duration tests require higher currents. It is preferable to select a duration closest to the duty cycle of the battery. The duration must be kept constant during subsequent discharge tests on the battery string to ensure accurate trending of the battery capacity.
Once the test current is determined, the next step is to determine the capability of the test equipment. Discharge test equipment or load testers come in various shapes and sizes. The massive ones are capable of drawing high amounts of current and can work for a wide range of battery applications but aren’t portable. The portable ones may have limited power capability. Therefore, part of the planning involves running calculations to determine which testing equipment is required, as well as whether the existing testing equipment will work for a discharge test at a certain current. Figure 2 shows the power capability of a battery discharge test system.
As seen from the curve, the maximum current drops with an increase in the string voltage. Hence, the string voltage is an important factor in deciding which instrument can be used for a specific test.
Besides the load bank, additional equipment can be used to monitor individual cell voltages. Monitoring individual cell discharge is certainly valuable as it can help pinpoint bad cells in a string. This is helpful in determining whether the entire string needs to be replaced because of a bad test or if replacing a few cells in the string will fix the issue. Photo 2 shows a discharge test setup using a battery discharge test system along with battery voltage monitors (BVMs).
Cell-voltage measurements must be done between posts of like polarity on adjacent cells so that the voltage drop along the inter-cell connection is included. The downside of this is that a cell connected to a longer inter-cell connection (an inter-tier cable for example) can seem to have lower cell voltage than others (Fig. 3) because of the higher voltage drop along that longer connection.
Vmeas= Vcell — Vstrap
Arrangements must be made for a backup battery string to power critical loads while the battery string is under test. Photo 3 shows a backup battery string being used during a discharge test.
Bypassing bad cells in lead acid batteries
During the discharge test, cells can be bypassed if they are seen approaching polarity reversal (1V or less). A maximum of one downtime period of either six minutes or 10% of the test duration (whichever is shorter) is allowed, and the tester decides at what point to take it. The duration is kept short because the cells start to recover as soon as they are disconnected from the load. Waiting too long before resuming the discharge can affect the battery discharge curve significantly and result in a much higher percent capacity being erroneously measured. Because of this short duration, it is important to have the tools nearby to quickly bypass cells. The end battery voltage needs to be adjusted for the new number of cells in the string.
If all of the above measures are taken, the discharge test can be carried out smoothly. The test ends when the battery reaches the end voltage.
Capacity Calculation
The discharge duration is used to calculate the capacity at the end of the test. Capacity can be calculated using two methods.
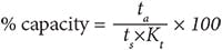
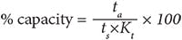
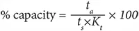
Time adjustment method
This method is used for tests with a duration greater than an hour:
where:
ta – Actual discharge time
ts – Specified discharge time
Kt – Temperature correction factor
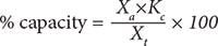
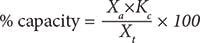
Rate adjustment method
This method is preferred if the test duration is less than an hour.
where:
Xa – Actual discharge rate
Xt – Specified discharge rate corresponding to the actual discharge time
Kc – Temperature correction factor
The percentage capacity thus obtained can be used to qualify the battery as bad or good.
Acceptance test
A discharge test carried out immediately after the installation or commissioning of the string is called an acceptance test. For lead acid batteries, the measured percent capacity must be at least 90% of the rated capacity for the battery to pass the test. The results obtained from this test can be used as the baseline for future measurements.
Performance tests can then be performed at regular intervals to track the health of the battery string. The battery string can be replaced once the percent capacity drops too low (80% of the rated capacity for lead-acid batteries).
Service tests or modified performance tests can also be performed to test the battery’s ability in specific applications.
In the lapsed time between consecutive discharge tests, online testing can be done in the form of impedance measurements at regular intervals. Any significant deviations observed in the impedance measurements can then be investigated by conducting a discharge test. Batteries are manufactured to last for hundreds of charge/discharge cycles, so a few discharge tests done as part of maintenance do not affect a battery’s service life. The discharge test provides a definitive answer and delivers the final verdict on the state of the battery.
Conclusion
A good battery maintenance program includes discharge testing among other maintenance activities. Discharge testing is the best tool for battery health assessment, and having a good understanding of the test procedure can result in the test being done in the correct manner, thus yielding accurate results.
More details regarding maintenance and testing on various types of batteries used in stationary applications are provided in the following documents:
- IEEE Std. 450–2020, IEEE Recommended Practice for Maintenance, Testing, and Replacement of Vented Lead-Acid Batteries for Stationary Applications
IEEE Std. 1188–2005, IEEE Recommended Practice for Maintenance, Testing, and Replacement of Valve-Regulated Lead- Acid (VRLA) Batteries for Stationary ApplicationsIEEE Std. 1106–2015, IEEE Recommended Practice for Installation, Maintenance, Testing, and Replacement of Vented Nickel-Cadmium Batteries for Stationary Applications
Sanket Bolar worked previously as a substation applications engineer at Megger. From the beginning of his professional career, he was directly involved with testing and condition assessment of power transformers working for Siemens Ltd (India). Sanket became part of Megger while working on his master’s degree as part of the internship educational program. Upon graduation, he joined Megger as an applications engineer covering a broad spectrum of substation products from transformer to power quality applications. Sanket graduated from Mumbai University, India, with a B.S. in electrical engineering and received his M.S. in electrical engineering specializing in power systems from North Carolina State University. Sanket is currently a staff engineer at Oncor Electric Delivery.
Electrical Testing Education articles are provided by the InterNational Electrical Testing Association (NETA), www.NETAworld.org. NETA was formed in 1972 to establish uniform testing procedures for electrical equipment and systems. Today the association accredits electrical testing companies; certifies electrical testing technicians; publishes the ANSI/NETA Standards for Acceptance Testing, Maintenance Testing, Commissioning, and the Certification of Electrical Test Technicians; and provides training through its annual PowerTest Conference and library of educational resources.
About the Author

Sanket Bolar
Sanket Bolar worked previously as a substation applications engineer at Megger. From the beginning of his professional career, Sanket was directly involved with testing and condition assessment of power transformers working for Siemens Ltd (India). Sanket became part of Megger while working on his master’s degree as part of the internship educational program. Upon graduation, he joined Megger as an applications engineer covering a broad spectrum of substation products from transformer to power quality applications. Sanket graduated from Mumbai University, India, with a BS in electrical engineering and received his MS in electrical engineering specializing in power systems from North Carolina State University. Sanket is currently a staff engineer at Oncor Electric Delivery.











